728x90
반응형
- Queue but items in it have priorities
- Simplest of Priority
- no change of priority 우선순위가 바뀌지 않음
- highest proirity comes out first 가장 높은 우선순위가 제일 먼저 나옴 (작은 값)
- Possible Array Implementations
- Sorting → Delete는 빠르지만, insert의 경우 들어오면 하나씩 밀어줘야함
- Unsorting → insert는 빠르지만, delete할 때 우선순위를 찾아야함
Binary Tree Implementation
Find Minimum in the Trees : go down left until you cannot 맨 왼쪽 아래가 첫번째 우선순위임
* AVL, 2-3, 2-3-4 or Red-Black Tree의 경우 맨 첫번째 우선순위가 아니라 전체 순위를 알 수 있음
ex) 높이가 아니라, 노드의 개수를 라벨로 가진다고 한다면, 왼쪽 라벨에 따라서 해당 노드가 몇 번째인지 알 수 있음
Heap Structure
Heap Definition
Complete Binary Tree
- All Levels Completely filled except for the last level
- Last level filled from left
parent has smaller key then children → no order for left and right children (large flexibility)
implications
- smallest at the Root 루트가 가장 작다
- key gets larger as you go down (in any direction) 어느 방향으로 가도 아래로 내려갈수록 커짐
Array Representation

- Root is at index 1
- Left and Right Children of Node at index i are at 2i and 2i + 1
- 부모노드는 짝수라면 i/2 홀수라면 i-1/2이다 → Complete Binary Tree
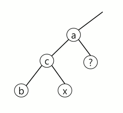
Heap Insert (Up heap)

- tree 모양을 맞추기 위해 x값을 그림과 같은 위치에 추가함 (크기 관계는 아직 고려하지 않음)
- x와 c의 크기 관계를 확인해야함 (부모노드와 자식노드의 크기 관계 조건을 맞추어야 하기 때문)
문제가 생길 가능성이 있는 것은 c-x 밖에 없음
Case 1) x > c : 그대로 트리 유지
Case 2) x < c : x와 c를 변경 - Case2의 경우, a와 x의 크기 관계에서 문제가 생길 가능성이 있음 → 반복하며 크기 관계에 따라 트리의 숫자를 변경
O(log N)의 시간으로 insert
Heap Delete
무조건 root에 있는 값이 Delete 되어야함

- root에 있는 값을 삭제한 뒤, 가장 아래쪽에 있던 값을 root로 옮겨 모양을 맞춘다 (위 그림에서 x는 원래 맨 아래에 있던 값)
- 크기 관계가 깨질 수 있는 곳은 x-c 와 x-b
Case 1 ) b < c : b가 root
Case 2) b > c : c가 root - x가 내려가게 된다면, 계속 아래의 크기 관계를 비교하여 2번과 같은 과정을 반복한다
O(log N)의 시간으로 delete
728x90
반응형
'CS > Data Structure' 카테고리의 다른 글
| Union Find (10) | 2024.06.13 |
|---|---|
| Tree Traversal & Parsing (0) | 2024.06.13 |
| AVL Tree Variation(2-3 Tree, 2-3-4 Tree, Red-Black Tree, skip list) (3) | 2024.06.12 |
| AVL Tree (6) | 2024.06.11 |
| Binary Search Tree (0) | 2024.04.24 |